欢迎访问《中国临床药理学与治疗学》杂志官方网站,今天是

中国临床药理学与治疗学 ›› 2026, Vol. 31 ›› Issue (1): 28-39.doi: 10.12092/j.issn.1009-2501.2026.01.003

• 基础研究 • 上一篇    

基于网络药理学、分子对接及实验验证探讨高良姜等三味山姜属中药治疗胃溃疡寒证的作用机制

温子帅1,5(), 梁胜男4, 阮雨玲1, 张文涛3, 李梦颖5, 吴芳芳2, 柳俊辉1, 秦华珍1,*()   

  1. 1. 广西中医药大学药学院,南宁 530200,广西
    2. 广西中医药大学中药壮瑶药创新药物教育部工程研究中心,南宁 530200,广西
    3. 广西中医药大学教学实验实训中心,南宁 530200,广西
    4. 百色市中医医院药学部,百色 533000,广西
    5. 北海市中医医院药学部,北海 536000,广西
  • 收稿日期:2025-02-17 修回日期:2025-06-05 出版日期:2026-01-26 发布日期:2026-02-13
  • 通讯作者: 秦华珍 E-mail:wenzishuai802@163.com;937824429@qq.com
  • 作者简介:温子帅,中药学硕士,博士研究生,主管中药师,研究方向:中药质量控制与药效物质基础。E-mail:wenzishuai802@163.com
  • 基金资助:
    国家自然科学基金(82074034);广西自然科学基金(2023GXNSFAA026490);广西壮族自治区高校黄大年式教师团队“中药学传承创新教师团队”(桂教教师[2023]31号)

Exploring the mechanism of Alpiniae Officinarum Rhizoma and two other Alpinia Roxb medicinal materials in treating gastric ulcer with cold syndrome based on network pharmacology, molecular docking and experimental validation

Zishuai WEN1,5(), Shengnan LIANG4, Yuling RUAN1, Wentao ZHANG3, Mengying LI5, Fangfang WU2, Junhui LIU1, Huazhen QIN1,*()   

  1. 1. College of Pharmacy, Guangxi University of Chinese Medicine, Nanning 530200, Guangxi, China
    2. Engineering Research Center of Innovative Traditional Chinese, Zhuang and Yao Materia Medica, Ministry of Education, Guangxi University of Chinese Medicine, Nanning 530200, Guangxi, China
    3. Teaching Experiment and Training Center of Guangxi University of Chinese Medicine, Nanning, 530200, Guangxi, China
    4. Pharmacy Department, Baise Hospital of Chinese Medicine, Baise 533000, Guangxi, China
    5. Pharmacy Department, Beihai Hospital of Chinese Medicine, Beihai 536000, Guangxi, China
  • Received:2025-02-17 Revised:2025-06-05 Online:2026-01-26 Published:2026-02-13
  • Contact: Huazhen QIN E-mail:wenzishuai802@163.com;937824429@qq.com

摘要:

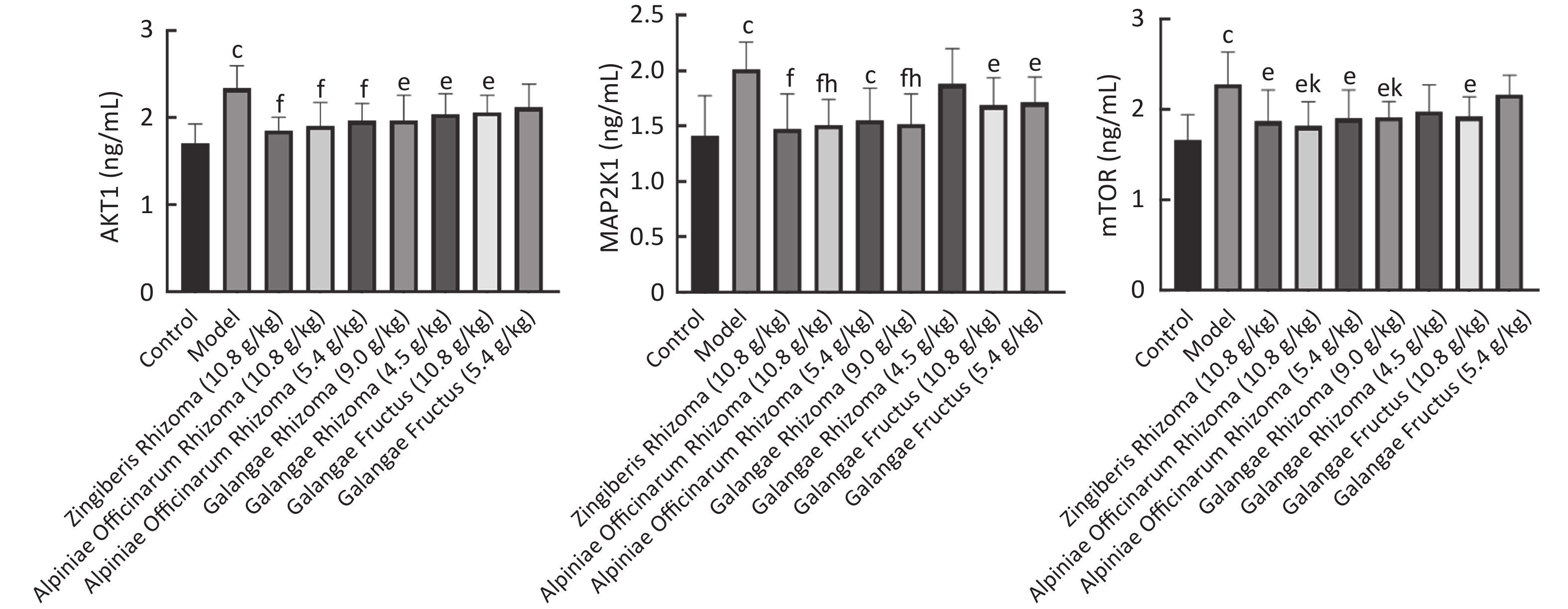
目的: 通过网络药理学与分子对接技术探究高良姜等三味山姜属中药治疗胃溃疡寒证的作用机制,并进行实验验证。方法: 通过网络药理学常用技术手段,使用TCMSP、CNKI等数据库筛选三味山姜属中药中的活性成分及治疗胃溃疡疾病的相关靶点,并绘制Venn图、蛋白质网络互作图。对关键靶点进行通路富集分析,将所获得的“药物-活性成分-靶点-通路-疾病”等数据导入Cytoscape 3.10.2进行可视化处理,并选择Degree排名靠前的化合物通过AutoDock软件进行分子对接。72只SPF级SD大鼠分为9组,包括空白对照组、模型组、阳性对照组(干姜10.8 g/kg)、高良姜高、低(10.8和5.4 g/kg)剂量组,大高良姜高、低(9.0和4.5 g/kg)剂量组,红豆蔻高、低(10.8和5.4 g/kg)剂量组,采用冰乙酸和冰知母法复制胃溃疡寒证模型,按不同剂量水煎液灌胃,1 mL/100 g体质量,每天2次,连续4 d。通过计算大鼠溃疡指数及溃疡抑制率,HE染色法观察大鼠胃组织病理学变化,ELISA法检测胃组织中AKT1、MAP2K1、mTOR蛋白的表达,从而与网络药理学的相关结果相互印证。结果: 将三味山姜属中药所有成分去重后共筛选出关键成分45个,与疾病交集靶点共124个,蛋白质网络互作图共包含124个节点,923条边,京都基因与基因组百科全书(KEGG)富集共得到138条信号通路。分子对接分数均<?7.0 kcal/mol,即核心成分有效作用于核心靶点。实验验证结果显示:与模型组比较,三味山姜属中药不同剂量组对冰知母-冰乙酸法复制造成的胃溃疡寒证与胃黏膜水肿、充血等症状显著改善,溃疡面及出血点明显减少。与模型组比较,除红豆蔻低剂量组外,其他给药组AKT1蛋白表达水平均显著降低(P<0.05或P<0.01);除大高良姜低剂量组外,其余给药组MAP2K1蛋白表达水平均显著降低(P<0.05或P<0.01);除大高良姜和红豆蔻低剂量组外,各给药组mTOR蛋白表达水平均显著降低(P<0.05或P<0.01)。结论: 三味山姜属中药可能通过多成分、多靶点、多通路的网络调控发挥抗炎、调控细胞增殖等作用来治疗胃溃疡。

关键词: 高良姜, 大高良姜, 红豆蔻, 胃溃疡寒证, 网络药理学, AKT1, MAP2K1, mTOR

Abstract:

AIM: Through network pharmacology and molecular docking technology, the mechanism of action of three kinds of Alpinia Roxb. Chinese medicinal materials such as Alpiniae Officinarum Rhizoma in the treatment of gastric ulcer with cold syndrome was explored and verified by experiments. METHODS: Through the commonly used technical means of network pharmacology, TCMSP, CNKI and other databases were used to screen the active components in three kinds of Alpinia Roxb. Chinese medicinal materials and related targets for the treatment of gastric ulcer diseases. Venn diagram and protein-protein interaction (PPI) were drawn. Pathway enrichment analysis was performed on key targets. The obtained data of “drug-active ingredient- target- pathway- disease” were imported into Cytoscape 3.10.2 for visualization, and some compounds with higher Degree ranking were selected for molecular docking by AutoDock software. A total of 72 SPF-grade SD rats were divided into nine groups, including a blank control group, a model group, a positive control group (Zingiberis Rhizoma, 10.8 g/kg), high and low dose groups of Alpiniae Officinarum Rhizoma (10.8 and 5.4 g/kg), high and low dose groups of Galangae Rhizoma (9 and 4.5 g/kg), and high and low dose groups of Galangae Fructus (10.8 and 5.4 g/kg). A gastric ulcer with cold syndrome model was induced using cold acetic acid and cold Anemarrhenae Rhizoma. The rats were administered decoctions at different doses by gavage at 1 mL/100 g body weight, twice daily for 4 consecutive days. By calculating the ulcer index and ulcer inhibition rate of rats, the pathological changes of gastric tissue in rats were observed by HE staining, the expression of AKT1, MAP2K1 and mTOR protein in gastric tissue was detected by ELISA, so as to confirm each other with the relevant results of network pharmacology. RESULTS: A total of 45 key components were screened from all the components of three kinds of Alpinia Roxb. Chinese medicinal materials, and 124 targets were intersected with the disease. The PPI network interaction map contained 124 nodes and 923 edges. A total of 138 signal pathways were obtained by KEGG enrichment. The molecular docking scores were less than -7.0 kcal/mol, that is the core components effectively acted on the core targets. The results of verification experiments showed that compared with the model group, the different doses of three kinds of Alpinia Roxb. Chinese medicinal materials groups significantly improved the gastric ulcer with cold syndrome, mucosal edema, congestion and other symptoms caused by the replication of iced Anemarrhenae Rhizoma decoction-glacial acetic acid method, and the ulcer surface and bleeding points were significantly reduced. Compared with the model group, the AKT1 protein expression level was significantly reduced in all drug - treated groups the except low - dose Galangae Fructus group (P<0.05 or P<0.01). The MAP2K1 protein expression level was significantly reduced in all drug - treated groups except the low - dose Alpiniae Officinarum Rhizoma group (P<0.05 or P<0.01). The mTOR protein expression level was significantly reduced in all drug - treated groups except the low - dose Alpiniae Officinarum Rhizoma and Galangae Rhizoma groups (P<0.05 or P<0.01). CONCLUSION: Three kinds of Alpinia Roxb. Chinese medicinal materials may play an anti-inflammatory and regulatory role in cell proliferation through multi-component, multi-target and multi-pathway network regulation and so on to treat gastric ulcer.

Key words: Alpiniae Officinarum Rhizoma, Galangae Rhizoma, Galangae Fructus, gastric ulcer cold syndrome, network pharmacology, AKT1, MAP2K1, mTOR

中图分类号: